Поиск точек экстремума
Теперь, когда мы разобрались, как не запутаться и понять, что необходимо найти в задаче, приступим к разбору самих заданий и алгоритмов к ним. Начнём с поиска точек экстремума. Чтобы провести анализ функции, необходимо определить основные этапы. У функции есть точки экстремума, в них производная равна нулю. Единственный способ, определить, является ли данная точка точкой максимума или минимума – это определить знаки производной до и после неё, если знак производной меняется с «–» на «+», то это будет точка минимума, а если с «+» на «–», то точка максимума. Таким образом общий порядок действий будет следующим:
Данному алгоритму подчиняются абсолютно все задания, в которых нужно найти точки экстремума.
Тема: «Планиметрия»
За это задание вы можете получить 1 балл на ЕГЭ в 2022 году
Задача 1
В треугольнике $ABC$ угол $C$ равен $90^°$, $BC=3$, $\cos A={4} / {5}$ (см. рис.). Найдите $AB$.
Задача 2
Найдите угол $ACO$, если его сторона $AC$ касается окружности, $O$ — центр окружности, сторона $CO$ пересекает окружность в точках $B$ и $D$ (см. рис.), а дуга $AD$ окружности, заключенная внутр…
Задача 3
Параллелограмм и прямоугольник имеют одинаковые стороны. Найдите острый угол параллелограмма, если его площадь относится к площади прямоугольника как $√ {3}:2$.
Задача 4
Параллелограмм и прямоугольник имеют одинаковые стороны. Сколько градусов составляет острый угол параллелограмма, если его площадь относится к площади прямоугольника как $1:√ {2}$?
Задача 5
В треугольнике $ABC$ $AC=BC$, $AB=15$ и $\tg ∠ BAC={2√ {5}} / {5}$ (см. рис.). Найдите высоту $AH$.
Задача 6
В треугольнике $ABC$ сторона $AC$ равна стороне $BC$, $AB=12$ и $\tg ∠ BAC={3√ {7}} / {7}$ (см. рис.). Найдите высоту $AH$.
Задача 7
Два угла треугольника равны $48^°$ и $64^°$ (см. рис.). Найдите тупой угол, который образуют высоты треугольника, выходящие из вершин этих углов. Ответ дайте в градусах.
Задача 8
В треугольнике $ABC$ угол $C$ равен $90^°$, $AC=12$, $\tg A=0{,}7$ (см. рис.). Найдите $BC$.
Задача 9
В треугольнике $ABC$ угол $C$ равен $90^°$, $AC=10$, $\tg A=0{,}3$ (см. рис.). Найдите $BC$.
Задача 10
В треугольнике $ABC$ угол $C$ равен $90^°$, $AC=4√ {7}$, $\tg A={√ {3}} / {2}$ (см. рис.). Найдите $AB$.
Задача 11
Найдите площадь ромба, если его диагонали равны $3√ {7}$ и $12√ {7}$.
Задача 12
В треугольнике $ABC$ угол $C$ прямой, $AC=9$, $\sin A={4} / {5}$ (см. рис.). Найдите $AB$.
Задача 13
В треугольнике $ABC$ угол $C$ равен $90^°$, катет $AC=16$, $\sin A={3} / {5}$ (см. рис.). Найдите $AB$.
Задача 14
В треугольнике $ABC$ угол $C$ равен $90^°$, $AC=12$, $\cos A={6} / {7}$ (см. рис.). Найдите $AB$.
Задача 15
Площадь треугольника ABC равна 76, DE — средняя линия, параллельная стороне AB. Найдите площадь трапеции ABED.
Задача 16
Стороны параллелограмма равны 8 и 16. Высота, опущенная на первую из этих сторон, равна 14. Найдите высоту, опущенную на вторую сторону параллелограмма.
Задача 17
В треугольнике $ABC$ угол $A$ равен $26°$, угол $B$ равен $82°$, $CD$ — биссектриса внешнего угла при вершине $C$, причём точка $D$ лежит на прямой $AB$. На продолжении стороны $AC$ за точку $C$ выбрана…
Задача 18
В треугольнике ABC угол A равен $65°$, угол C равен $53°$. На продолжении стороны AB за точку B отложен отрезок BD, равный стороне BC. Найдите угол D треугольника BCD. Ответ дайте в гр…
Задача 19
В треугольнике $ABC$ угол $A$ равен $48°$. На продолжении стороны $AB$ за точку $B$ отложен отрезок $BD$, равный стороне $BC$. Найдите угол $D$ треугольника $BCD$, если угол $ACB$ равен $62°$. Ответ дай…
Задача 20
Основания равнобедренной трапеции равны 20 и 50, а её боковые стороны равны 17. Найдите площадь трапеции.
1
…
Показательные уравнения
Показательными называют такие уравнения, в которых неизвестное содержится в показателе степени.
$a^x=b$
При решении показательных уравнений используются свойства степеней, вспомним некоторые из них:
1. При умножении степеней с одинаковыми основаниями основание остается прежним, а показатели складываются.
$a^n·a^m=a^{n+m}$
2. При делении степеней с одинаковыми основаниями основание остается прежним, а показатели вычитаются
$a^n:a^m=a^{n-m}$
3. При возведении степени в степень основание остается прежним, а показатели перемножаются
$(a^n)^m=a^{n∙m}$
4. При возведении в степень произведения в эту степень возводится каждый множитель
$(a·b)^n=a^n·b^n$
5. При возведении в степень дроби в эту степень возводиться числитель и знаменатель
$({a}/{b})^n={a^n}/{b^n}$
6. При возведении любого основания в нулевой показатель степени результат равен единице
$a^0=1$
7. Основание в любом отрицательном показателе степени можно представить в виде основания в таком же положительном показателе степени, изменив положение основания относительно черты дроби
$a^{-n}={1}/{a^n}$
${a^{-n}}/{b^{-k}}={b^k}/{a^n}$
8. Радикал (корень) можно представить в виде степени с дробным показателем
$√^n{a^k}=a^{{k}/{n}}$
Виды показательных уравнений:
1. Простые показательные уравнения:
а) Вида $a^{f(x)}=a^{g(x)}$, где $а >0, a≠1, x$ — неизвестное. Для решения таких уравнений воспользуемся свойством степеней: степени с одинаковым основанием ($а >0, a≠1$) равны только тогда, когда равны их показатели.
$f(x)=g(x)$
b) Уравнение вида $a^{f(x)}=b, b>0$
Для решения таких уравнений надо обе части прологарифмировать по основанию $a$, получается
$log_{a}a^{f(x)}=log_{a}b$
$f(x)=log_{a}b$
2. Метод уравнивания оснований.
3. Метод разложения на множители и замены переменной.
- Для данного метода во всем уравнении по свойству степеней надо преобразовать степени к одному виду $a^{f(x)}$.
- Сделать замену переменной $a^{f(x)}=t, t > 0$.
- Получаем рациональное уравнение, которое необходимо решить путем разложения на множители выражения.
- Делаем обратные замену с учетом того, что $t > 0$. Получаем простейшее показательное уравнение $a^{f(x)}=t$, решаем его и результат записываем в ответ.
Пример:
Решите уравнение $2^{3x}-7·2^{2x-1}+7·2^{x-1}-1=0$
Решение:
По свойству степеней преобразуем выражение так, чтобы получилась степень 2^x.
$(2^x)^3-{7·(2^x)^2}/{2}+{7·2^x}/{2-1}=0$
Сделаем замену переменной $2^x=t; t>0$
Получаем кубическое уравнение вида
$t^3-{7·t^2}/{2}+{7·t}/{2}-1=0$
Умножим все уравнение на $2$, чтобы избавиться от знаменателей
$2t^3-7·t^2+7·t-2=0$
Разложим левую часть уравнения методом группировки
$(2t^3-2)-(7·t^2-7·t)=0$
Вынесем из первой скобки общий множитель $2$, из второй $7t$
$2(t^3-1)-7t(t-1)=0$
Дополнительно в первой скобке видим формулу разность кубов
$2(t-1)(t^2+t+1)-7t(t-1)=0$
Далее скобку $(t-1)$ как общий множитель вынесем вперед
$(t-1)(2t^2+2t+2-7t)=0$
Произведение равно нулю, когда хотя бы один из множителей равен нулю
1) $(t-1)=0;$ 2) $2t^2+2t+2-7t=0$
Решим первое уравнение
$t_1=1$
Решим второе уравнение через дискриминант
$2t^2-5t+2=0$
$D=25-4·2·2=9=3^2$
$t_2={5-3}/{4}={1}/{2}$
$t_3={5+3}/{4}=2$
Получили три корня, далее делаем обратную замену и получаем три простых показательных уравнения
$2^x=1; 2^x={1}/{2}; 2^x=2$
$2^x=2^0; 2^x=2^{-1}; 2^x=2^1$
$х_1=0; х_2=-1; х_3=1$
Ответ: $-1; 0; 1$
4. Метод преобразования в квадратное уравнение
- Имеем уравнение вида $А·a^{2f(x)}+В·a^{f(x)}+С=0$, где $А, В$ и $С$ — коэффициенты.
- Делаем замену $a^{f(x)}=t, t > 0$.
- Получается квадратное уравнение вида $A·t^2+B·t+С=0$. Решаем полученное уравнение.
- Делаем обратную замену с учетом того, что $t > 0$. Получаем простейшее показательное уравнение $a^{f(x)}=t$, решаем его и результат записываем в ответ.
Способы разложения на множители:
Вынесение общего множителя за скобки.
Чтобы разложить многочлен на множители путем вынесения за скобки общего множителя надо:
- Определить общий множитель.
- Разделить на него данный многочлен.
- Записать произведение общего множителя и полученного частного (заключив это частное в скобки).
Пример:
Разложить на множители многочлен: $10a^{3}b-8a^{2}b^2+2a$.
Общий множитель у данного многочлена $2а$, так как на $2$ и на «а» делятся все члены. Далее найдем частное от деления исходного многочлена на «2а», получаем:
$10a^{3}b-8a^{2}b^2+2а=2a({10a^{3}b}/{2a}-{8a^{2}b^2}/{2a}+{2a}/{2a})=2a(5a^{2}b-4ab^2+1)$
Это и есть конечный результат разложения на множители.
Советы по подготовке к ЕГЭ по профильной математике 2021
Повторите теорию
Не откладывайте на потом. Вспомните все определения, формулы и понятия перед там, как приступать к решению задач. Попробуйте писать формулы по памяти, а потом сверять
И не забывайте: важно не вызубрить темы, а понять их.
Не пропускайте первую часть
Одна из грубых ошибок — переходить сразу к решению второй части ЕГЭ. Многие задачи из первой решаются довольно просто, но не стоит их недооценивать. Они составлены так, чтобы проверить не только навык решения, но и внимательность к деталям. Прорабатывайте номера из первой части, ведь для достижения цели важен каждый балл.
Внимательно читайте текст заданий
Смотрите, в каких единицах измерения требуется ответ и нужно ли его округлять
В задании №7 важно понимать, какой график вам дан — производной или функции. От этого зависит ответ на заданный вопрос
В экономической задаче №17 нельзя использовать готовую формулу. Вам нужно написать математическую модель самостоятельно.
Научитесь хорошо считать в уме
Учитесь вычислять без калькулятора — некоторые задания требуют навыка быстрого счёта. К тому же, на экзамене вам нужно оставить как можно больше времени на сложные задачи и проверку.
Проверяйте решения и ответы
Например, убедитесь, что правильно перевели число из обычной дроби в десятичную. Арифметические ошибки также часто встречаются в задаче на финансовую математику
В задании №9 обратите внимание на знаки, особенно если вам попались тригонометрические функции
Также важно без ошибок определить ограничения x в задаче №13. Если исходное уравнение содержит tgx, то — cosx≠0
Если уравнение содержит квадратный корень, подкоренное выражение — ≥0
Если исходное уравнение содержит tgx, то — cosx≠0. Если уравнение содержит квадратный корень, подкоренное выражение — ≥0.
Проверяйте свои знания
Вы можете пройти тест на бесплатном вводном занятии с преподавателем или на сайте ФИПИ. Так вы узнаете, что помните хорошо, а что нужно повторить. Также вы можете воспользоваться нашей библиотекой знаний с полезными материалами для подготовки. Нужно только зарегистрироваться на сайте.
Не бойтесь второй части
Смело решайте задания из второй части. Попробуйте справиться с заданиями №13 и №15. Скорее всего, они вам хорошо знакомы. Чаще всего №13 оказывается не таким уж и сложным. Если вы хорошо знаете геометрию, начните с №14 или №16. Если вам по душе алгебра, решайте задачи на параметр и свойства чисел — №18, 19.
Отдыхайте
Составьте комфортное расписание занятий. Подготовка к ЕГЭ по профильной математике в 2021 не должна быть тяжким бременем. Проводите больше времени на свежем воздухе, встречайтесь с друзьями и не забывайте про здоровый сон.
Несколько советов по решению 2 задания
Сложнее всего определить, когда вероятности двух событий надо перемножать, а когда складывать. Попадаются задачи, когда надо сделать и то, и другое. Если вы нашли вероятности отдельных событий, но не можете определиться, что с ними делать дальше – доверьтесь интуиции.
Если вы понимаете что вероятность двух событий больше, чем вероятность каждого в отдельности – складывайте. (Например, вероятность выбросить решку на одной из двух монет очевидно больше, чем выбросить решку на одной монете.)
Если вероятность двух событий меньше, чем каждого в отдельности – перемножайте. (Например, вероятность выбросить решку на обеих монетах меньше, чем вероятность выбросить решку на одной из них.)
Понятно, что интуиция – подход ненаучный. Но на ЕГЭ в задании с кратким ответом лучше дать какой-нибудь ответ, чем не дать никакого.
Однако не забывайте, что профильный ЕГЭ по математике является не только выпускным, но и вступительным испытанием. Большинство школьных задач на вероятность можно решить путем логических рассуждений. Это создает иллюзию легкости теории вероятности и математической статистики. Но на самом деле это одна из самых передовых и востребованных областей математики, и в ВУЗе вы ощутите её сложность в полной мере.
Рекомендуем также ознакомиться с разбором , и задания.
Какие формулы необходимы для сдачи ЕГЭ по профильной математике?
Помимо очевидного, что для сдачи профиля нужно уметь складывать, вычитать и умножать, необходимы еще некоторые знания. Все это проходится в течение школы, но повторить или заполнить пробелы перед экзаменом нужно обязательно. Вот, что пригодится:
- Формулы сокращенного умножения;
- Арифметическая и геометрическая прогрессии;
- Вероятность;
- Свойства степеней;
- Свойства логарифмов;
- Тригонометрия;
- Производные;
- Первообразные.
Список внушительный, но вполне реальный, чтобы его выучить. Для того, чтобы лишний раз не гуглить в интернете «формулы для ЕГЭ по математике профильный уровень», приложим их ниже. А начнем по порядку из списка выше.
Формулы сокращённого умножения
Первые в нашем списке – формулы сокращенного умножения – нужны для решения задания №9 из профильного уровня. Вам встретятся задачи на преобразование выражений, поэтому умение это делать будет вознаграждено баллами.
Вот то, что будет вашим спасательным кругом:
Есть те, которые знать не обязательно. Но чем большими знаниями вы будете обладать, тем легче вам будет на экзамене. Вот они:
Умея применять эти формулы для ЕГЭ по математике, профильный уровень вам уже будет решить легче. Но это далеко не все, что нужно знать, чтобы получить сто баллов за ЕГЭ.
Арифметическая и геометрическая прогрессии
Для задания №19 нужно знание арифметической и геометрической прогрессии. Прикладываем формулы для ЕГЭ по математике, профильный уровень которой невозможен без их знания:
Вероятность
Вероятность встречается в задании №4, а ведь в самом начале обычно ставят легкие задания. Тем не менее, придется применять знания, которые представлены ниже:
Перейдем к свойствам степеней, ведь в них тоже есть, что запомнить.
Свойства степеней
Эти свойства нужно знать и для того, чтобы решить «базу», так что гуманитарии тоже могут обратить внимание на это:
Как вы видите, запоминать не очень много, зато формулы не самые простые. Но есть еще сложнее, и сейчас узнаем, какие они.
Формулы логарифмов лучше всего начать с их определения:
Теперь перейдем к более сложному:
Тригонометрия
Тригонометрические уравнения встречаются в задании №13. Для того, чтобы заработать баллы, нужно знать это:
Но это еще не все. Есть такая вещь, как основное тригонометрическое тождество. Вот оно:
Формулы двойного угла:
Формулы суммы и разности аргументов:
Преобразование суммы и разности в произведение:
Формулы половинного аргумента:
На этом с тригонометрией все.
Производные
Начнем с основных правил дифференцирования:
Уравнение касательной:
Производные элементарных функций:
Закончим эту статью первообразными.
Задачи для практики
Задача 1
Найдите значение выражения $\log_5 27 ⋅ \log_3 25$.
Решение
$ log_5 3^3· log_3 5^2 = 3 log_5 3 · 2 log_3 5 $
Воспользуемся свойством: $log _b (a)= 1/{log _a (b)}$
$6 · log_5 3 · {1}/{log_5 3} = 6$.
Ответ: 6
Показать решение
Полный курс
Задача 2
Найдите значение выражения $ {14} / {\sin^2 25°+ \cos^2 205°}$.
Решение
Учитывая, что $cos(180° + 25) = — cos 25$,
$cos^2 (180° + 25) = (- cos 25°)⋅(- cos 25°)=cos^2 25°$
получим ${14}/{sin^2 25° + cos^2 (180° + 25°)} = {14}/{sin^2 25° + cos^2 25°} = 14$.
Ответ: 14
Показать решение
Полный курс
Задача 3
Найдите значение выражения $ {5} / {\cos^2 33°+ \cos^2 123°}$.
Решение
Учитывая, что $cos(90°+α)=-sinα$, получим:
$cos^2 (123°)=cos^2 (90°+33°)=(-sin 33°)⋅(-sin 33°)=sin^2 33°$, таким образом
$ {5} / {\cos^2 33°+ \cos^2 (90°+33°)}= {5} / {\cos^2 33°+ \sin^2 33°}= 5$.
Ответ: 5
Показать решение
Полный курс
Задача 4
Найдите значение выражения ${18(\sin^2 16°- \cos^2 16°)} / {\cos 32°}$.
Решение
Применив формулу двойного аргумента $cos 2α = cos^2 α — sin^2 α$, получим
$cos 32°=cos^2 16° — sin^2 16°$
${18(sin^2 16° — cos^2 16°)}/{cos^2 16° — sin^2 16°} = {18(sin^2 16° — cos^2 16°)}/{-( sin^2 16°-cos^2 16° )}=-18$.
Ответ: -18
Показать решение
Полный курс
Задача 5
Найдите значение выражения $(1-\log_3 18)(1-\log_6 18)$.
Решение
$(log__3 3 — log_3 18)(log_6 6 — log_6 18) = log_3 {1}/{6} · log_6 {1}/{3} = log_3 6^(-1) · log_6 3^(-1) = log_3 6 · log_6 3 = log_3 6 · 1/(log_3 6) = 1$.
Ответ: 1
Показать решение
Полный курс
Задача 6
Найдите значение выражения $ {\log_{3} 36} / {2+\log_{3} 4}$.
Решение
$ {\log_{3} (9⋅4)} / {2+\log_{3}4} ={\log_{3} 9+\log_3 4} / {2+\log_{3}4} ={2+\log_3 4} / {2+\log_{3}4} =1$.
Ответ: 1
Показать решение
Полный курс
Задача 7
Найдите значение выражения $ \log_2 (\log_5 625)$.
Решение
$log_2(log_5 5^4) = log_2 4 = 2$.
Ответ: 2
Показать решение
Полный курс
Задача 8
Найдите значение выражения ${7^{\log_5 50}} / {7^{\log_{5}2 }}$.
Решение
${7^{log_5(2·25)}}/{7^{log_5 2}} = {7^{log_5 2+log_5 25}}/{7^{log_5 2}} = 7^{log_ 5 2+log_5 5^2 -log_ 5 2} = 7^2 = 49$.
Ответ: 49
Показать решение
Полный курс
Задача 9
Найдите значение выражения ${\log_7 23} / {\log_{49}23} $.
Решение
${\log_7 23} / {\log_{7^2}23} ={\log_7 23} / {{1} / {2}\log_{7 }23}=2$.
Ответ: 2
Показать решение
Полный курс
Задача 10
Найдите значение выражения ${15 \cos 19°} / {\cos341°}$.
Решение
Применив формулу приведения $cos(360° -α) = cosα$, получим ${15cos19°}/{cos(360° — 19°)} = {15cos19°}/{cos19°} = 15$.
Ответ: 15
Показать решение
Полный курс
Задача 11
Найдите значение выражения ${3 \cos 39°} / {\sin51°}$.
Решение
Применив формулу приведения $sin(90° -α) = cosα$, получим ${3cos39°}/{sin(90° — 39°)} = {3 cos 39°}/{cos 39°} = 3$.
Ответ: 3
Показать решение
Полный курс
Задача 12
Найдите значение выражения ${15√ {x}-3} / {√ {x}}+{3√ {x}} / {x}+2x-8$ при $x=3$.
Решение
${15√x}/{√x} — {3}/{√x} + {3√x}/{(√x)^2} + 2x — 8 = 15 — {3}/{√x} + {3}/{√x} + 2x — 8 = 7 + 2x$.
При $x = 3$ получим $7 + 2·3 = 13$.
Ответ: 13
Показать решение
Полный курс
Задача 13
Найдите значение выражения ${f(x+3)} / {f(x-3)}$, если $f(x)=5^x$.
Решение
$f(x)=5^x$ ${f(x+3)}/{f(x-3)}={5^{x+3}}/{5^{x-3}}=5^6=15 625$
Ответ: 15625
Показать решение
Полный курс
Задача 14
Найдите значение выражения $(√ {23} — √ {15})(√ {23}+√ {15})$.
Решение
$(√{23} — √{15})(√{23} + √{15}) = (√{23})^2 — (√{15})^2 = 23 — 15 = 8$.
Ответ: 8
Показать решение
Полный курс
Задача 15
Найдите значение выражения ${6^{3√2+2}·6^{2√2}}/{6^{5√2-1}}$.
Решение
${6^{3√2+2}·6^{2√2}}/{6^{5√2-1}}=6^{3√2+2+2√2-(5√2-1)} = 6^{5√2+2-5√2+1} = 6^3 = 216$.
Ответ: 216
Показать решение
Полный курс
Задача 16
Найдите значение выражения $8^{3√ {5}-1}⋅ 8^{1-√ {5} }: 8^{2√ {5}-1}$.
Решение
$8^{(3√5-1)+(1-√5)-(2√5-1)} = 8^1 = 8$.
Ответ: 8
Показать решение
Полный курс
Задача 17
Найдите значение выражения $6x⋅(2x^9)^4:{(4x^{12})}^3$ при $x=5$.
Решение
$6x·(2x^9)^4 : (4^3 · (x^{12})^3) = 6x · (2^4 · x^{36}) : ((2^2)^3 · x^{36}) = {6x · 2^4 · x^{36}}/{2^6·x^{36}} = {6x}/{4} = 1.5x$.При $х=5$, $1.5·х=1.5·5=7.5$
Ответ: 7.5
Показать решение
Полный курс
Задача 18
Найдите значение выражения $x⋅5^{2x+1}⋅ 25^{-x}$ при $x=3$.
Решение
$x⋅5^{2x+1}⋅ (5^2)^{-x}=x⋅5^{2x+1-2x}=x⋅5$. При $x=3$ получим $3⋅5=15$.
Ответ: 15
Показать решение
Полный курс
Решение
$tgβ={sinβ}/{cosβ}=-5$$ sinβ=-5cosβ$$ (3sinβ+15cosβ−8)/(sinβ+5cosβ+2)=(3⋅(-5cosβ)+15cosβ-8)/(-5cosβ+5cosβ+2)=(-15cosβ+15cosβ-8)/2=-8/2=-4$
Ответ: -4
Показать решение
Полный курс
Показать еще
Задания с развернутым ответом: немного статистики
Многие думают, что эта часть ЕГЭ по математике очень сложная. Поэтому ребята, которые не рассчитывают на высокие баллы, даже не приступают к ней. И очень зря! С помощью этих заданий можно заработать дополнительные баллы и побороться за высокое место в рейтинге.
Сейчас будет немного статистики. В среднем около 30% учеников получают полные 2 балла за решение № 12, а вот неравенство № 14 дается хуже, только около 12% с ним справляются на полный балл. Геометрия даётся ещё хуже: стереометрию № 13 полностью решают 2% выпускников, планиметрию (№ 16) менее 5%. А вот с экономической задачей (№ 15) справляются около 15%, а это целых 2 балла! Что касается № 17 и 18, то они даются ещё хуже, но на то они и самые сложные, хотя 1 балл за № 18 по статистике получают около 25% сдающих — там нужно просто привести пример.
Задания второй части профильного экзамена
В эту часть вошли непростые, комбинированные задачи, однако научиться решать можно каждую.
Задание №13 посвящено уравнениям: тригонометрическим, показательным и другим. Всё чаще в этом номере дают комбинаторное уравнение — логарифм плюс тригонометрия и другие вариации.
В задании №14 вам предлагается решить стереометрическую задачу. Она может быть на объём многогранников и их сечения или нахождение расстояния между прямой и плоскостью. Чтобы решить эти задачи, нужно хорошо знать теорию и много практиковаться.
В задании №15 вам встретятся неравенства: смешанные, иррациональные или неравенства, содержащие модуль.
Для решения задачи №16 нужны твёрдые знания по планиметрии. Это задание проверяет ваше умение находить элементы трапеции, треугольника, окружности и других фигур.
Задание №17 часто называют экономикой, так как оно связано с финансовой математикой. Вам может попасться задача о кредитах: например, на поиск суммы платежа, процентной ставки или срока. Также в этом номере вы можете встретить задачу на вклады или оптимизацию. Решение потребует большого количества вычислений, поэтому развивайте навык быстрого счёта.
Одно из самых сложных заданий ЕГЭ по профильной математике 2021 — №18. Это задача с параметром. В школе эту тему часто обходят стороной. Прежде чем приниматься за решение, нужно хорошо повторить функции, их свойства и графики.
Задание №19 — нестандартная задача, можно сказать, олимпиадного уровня. Она проверяет умение строить и исследовать простейшие математические модели. Вам помогут логика и хорошее знание математики в целом.
Лайфак, чтобы решать задания на производную в ЕГЭ
Давайте посмотрим на некоторые задания, которые можно решить гораздо быстрее, не прибегая к использованию алгоритмов. Лайфхаки не работают на абсолютно всех заданиях, поэтому будьте аккуратны, применяя их!
Лайфхак, которые мы рассмотрим сегодня, будет опираться на знание формата экзамена. № 11 – задание из части с кратким ответом, ответ на который мы пишем в клеточки на бланке, а чего в этих клеточках не может быть? Очевидно, что бесконечную дробь, буквы ?, ln(…), log(…), ?, sin?, бесконечность и прочие знаки мы не сможем записать, и это очень сильно упрощает нам задачу.
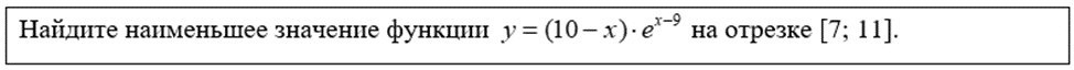
Разбираем лайфхак на примере

Чтобы выполнить данное задание, необходимо знать таблицу производных и немного порассуждать логически. Если мы пойдём по алгоритму, нам придётся брать производную от e в степени (x-9), а производная от данной функции будет равна тому же самому. И получается, что мы никак не можем избавиться от символа, которого просто не может быть в ответе.
Или можем? Есть замечательная степень, которая абсолютно любое основание может превратить в единицу — это 0. Таким образом, мы можем избавиться от е, если представим её степень (х – 9) равной нулю. Получается х – 9 = 0, тогда х = 9.
Но единственный ли это способ избавиться от «е»? На самом деле нет, так как есть ещё один множитель – скобка. Ее можно занулить, тогда занулится и всё произведение. Получим 10 – х = 0, тогда х = 10. Но не стоит забывать, что найти нас просят наименьшее значение ФУНЦИИ, поэтому теперь подставим найденные х в исходную функцию.

При х = 9 получаем 1, а при х = 10 получаем 0. Видим, что значение 0 меньше, чем 1, а значит именно его мы запишем в ответ
Обратите внимание, что оно достигается при х = 10, поэтому критично важно учитывать как степень экспоненты, так и множитель-скобку
В этой статье мы рассмотрели два алгоритма, с помощью которых можно решить абсолютно любое задание № 11 ЕГЭ по математике. А еще вы узнали лайфхак, как можно выполнить задание на производную в ЕГЭ, не прибегая к использованию алгоритма, и сэкономить время!
- Учите производную
- Пользуйтесь алгоритмами
- Не забывайте про крутые лайфхаки, но будьте внимательны, применяя их!
Если хочешь разобраться в остальных темах по математике и не только, почитай другие статьи в блоге и обрати внимание на наши онлайн-курсы. Уже более 150 тысяч выпускников подготовились с нами к ЕГЭ
Кстати, у меня на курсах MAXIMUM тоже можно поучиться!
Пример №8
К зачету надо выучить 10 вопросов. Саша выучил 2, а остальные только прочитал. Если Саше попадется выученный билет, то он сдаст зачет с вероятностью 0,9. Если Саше попадется вопрос, который он только прочитал, то вероятность сдать зачет 0,3. Вопросы на зачете распределяются случайным образом. Найти вероятность того, что Саша сдаст зачет.
Решение: Из 10 билетов выучены 2, не выучены 8. Вероятность получить выученный вопрос 2/10, вероятность получить не выученный вопрос 8/10.
Вероятность сдать зачет по выученному билету: 2/10*0,9=0,18
Вероятность сдать по невыученному билету: 8/10*0,3=0,24
Итоговая вероятность: 0,18+0,24=0,42
Ответ: 0,42.
Метод группировки
Методом группировки удобно пользоваться, когда на множители необходимо разложить многочлен с четным количеством слагаемых. В данном способе необходимо собрать слагаемые по группам и вынести из каждой группы общий множитель за скобку. У нескольких групп после вынесения в скобках должны получиться одинаковые выражения, далее эту скобку как общий множитель выносим вперед и умножаем на скобку полученного частного.
Пример:
Разложить многочлен на множители $2a^3-a^2+4a-2$
Решение:
Для разложения данного многочлена применим метод группировки слагаемых, для этого сгруппируем первые два и последние два слагаемых, при этом важно правильно поставить знак перед второй группировкой, мы поставим знак + и поэтому в скобках запишем слагаемые со своими знаками. $2a^3-a^2+4a-2=(2a^3-a^2)+(4a-2)$
$2a^3-a^2+4a-2=(2a^3-a^2)+(4a-2)$
Далее из каждой группы вынесем общий множитель
$(2a^3-a^2)+(4a-2)=a^2(2a-1)+2(2a-1)$
После вынесения общих множителей получили пару одинаковых скобок. Теперь данную скобку выносим как общий множитель.
$a^2(2a-1)+2(2a-1)=(2a-1)(a^2+2)$
Произведение данных скобок — это конечный результат разложения на множители.
Независимые события
Два события $А$ и $В$ называются независимыми, если вероятность появления каждого из них не зависит от того,
появилось другое событие или нет. В противном случае события называются зависимыми.
Вероятность произведения двух независимых событий $A$ и $B$ равна произведению этих
вероятностей:
$Р(А·В)=Р(А)·Р(В)$
Иван Иванович купил два различных лотерейных билета. Вероятность того, что выиграет первый
лотерейный билет, равна $0,15$. Вероятность того, что выиграет второй лотерейный билет, равна $0,12$. Иван Иванович
участвует в обоих розыгрышах. Считая, что розыгрыши проводятся независимо друг от друга, найдите вероятность того,
что Иван Иванович выиграет в обоих розыгрышах.
Решения:
Вероятность $Р(А)$ — выиграет первый билет.
Вероятность $Р(В)$ — выиграет второй билет.
События $А$ и $В$ – это независимые события. То есть, чтобы найти вероятность того, что они произойдут оба
события, нужно найти произведение вероятностей
$Р(А·В)=Р(А)·Р(В)$
$Р=0,15·0,12=0,018$
Ответ: $0,018$
Какие темы важно знать для ЕГЭ по математике 2022?
В математике, как и в любом предмете, есть опорные темы. Если вы их выучите, будет легче справиться с экзаменом.
Формулы тригонометрии
Очень важно знать формулы тригонометрии и уметь применять их. Хорошая новость: в справочных материалах можно найти несколько тригонометрических формул
Но формул гораздо больше. Я советую не зубрить их, а научиться выводить: приходить к формулам шаг за шагом, опираясь на тождества. Кстати, мы учим выводить формулы на курсах подготовки к ЕГЭ: это полезно, чтобы оказаться на экзамене во всеоружии и ничего не перепутать.
Квадратные уравнения
Эти уравнения мы учимся решать еще в 7 классе. Они встречаются в ЕГЭ по математике постоянно: и как самостоятельные задания, и внутри более сложных уравнений или неравенств. Квадратные уравнения могут встретиться в математических моделях № 8 и № 15, в задачах на геометрию и стереометрию, в задании № 17 с параметром.
Самое главное — хорошо знать универсальные методы решения. Первый — через формулу дискриминанта, второй — через теорему Виета, которая может сэкономить время на экзамене.
Треугольники
Эта замечательная тема, которую проходят в 7 классе — основа основ всей геометрии. Она нужна и для решения стереометрии. и для простейших планиметрических задач. Еще треугольники необходимы, чтобы освоить огромное количество теорем
Выучите все, что с ними связано! Особое внимание обратите на прямоугольные треугольники, которые встречаются чаще остальных — тогда геометрические задачи сразу станут проще
Проценты
Самая нелюбимая тема моих учеников после тригонометрии, которую необходимо хорошо знать. Проценты нужны для реальной математики — это № 8 (с кратким ответом) и № 15 (с развернутым ответом). Понимание этой темы может принести вам 3 первичных балла.
Особенности уровней ЕГЭ по математике
В 2015 году ЕГЭ по математике разделили на базовый и профильный уровни. Это упростило жизнь выпускникам, которые не планируют поступать на специальности, связанные с математикой. Если ЕГЭ по математике нужен только для получения аттестата, можно сдать его облегченную версию, оставив время и силы для профильных экзаменов.
Базовый уровень ЕГЭ по математике
Как устроен базовый ЕГЭ по математике? Экзамен идет 180 минут, он состоит из 21 задания, за каждое из которых можно получить 1 балл. Этот экзамен единственный, который переводится не в 100-бальную систему, а в оценки.
Пока перевод баллов ЕГЭ по математике базового уровня в оценки не опубликован ФИПИ, но мы добавим его в статью, как только появится официальная информация.
В ЕГЭ по математике базового уровня 6 тематических блоков:
Тематические блоки, ЕГЭ по математике 2022, базовый уровень
Подробнее про базовый ЕГЭ по математике, включая разбор всех заданий, читайте здесь, а мы перейдём к профильному.
Профильный уровень ЕГЭ по математике
Данный экзамен, как и остальные ЕГЭ, переводится в 100-бальную систему.
Пока перевод баллов ЕГЭ по математике профильного уровня в 100-бальную систему пока не опубликован ФИПИ. Мы добавим его в статью, как только появится официальная информация.
Экзамен состоит из двух частей: Часть 1 с кратким ответом, а Часть 2 — с развернутым. Длится он 235 минут. Всего есть 18 заданий, которые разделены на 3 блока: алгебра, геометрия и реальная математика. Максимальное количество первичных баллов — 31.
База, профиль — неважно, к какому именно уровню вы готовитесь. В любом случае надо не только правильно решить каждое задание, но и оформить его так, чтобы проверяющие ни к чему не придрались
Нарисовать и описать график, расписать решение уравнения или задачи… И это не все: нужно еще и внести ответы в бланк без ошибок. И все это — за ограниченный период времени! Так можно перенервничать и запороть даже самую простую задачку. А на ЕГЭ — каждый балл на счету.Поэтому на своих занятиях я сразу показываю своим ученикам, как правильно оформлять каждое задание в ЕГЭ по математике. Мы разбираем все критерии и учимся правильно отвечать на вопросы. А еще я всегда помогаю ученикам закрыть пробелы в знаниях и объясняю сложные темы столько раз, сколько нужно. И куда же без лайфхаков? Всегда рассказываю лучший способ решения типичных заданий. Так что мои ученики приходят на экзамены подготовленными и не нервничают, когда видят задачу. Хотите также? Приходите ко мне на курсы подготовки к ЕГЭ по математике — научу!
Применение формул сокращенного умножения
1. Квадрат суммы раскладывается на квадрат первого числа плюс удвоенное произведение первого числа на второе число и плюс квадрат второго числа.
$(a+b)^2=a^2+2ab+b^2$
2. Квадрат разности раскладывается на квадрат первого числа минус удвоенное произведение первого числа на второе и плюс квадрат второго числа.
$(a-b)^2=a^2-2ab+b^2$
3. Разность квадратов раскладывается на произведение разности чисел и их сумму.
$a^2-b^2=(a+b)(a-b)$
4. Куб суммы равен кубу первого числа плюс утроенное произведение квадрата первого на второе число плюс утроенное произведение первого на квадрат второго числа плюс куб второго числа.
$(a+b)^3=a^3+3a^2b+3ab^2+b^3$
5. Куб разности равен кубу первого числа минус утроенное произведение квадрата первого на второе число плюс утроенное произведение первого на квадрат второго числа и минус куб второго числа.
$(a-b)^3=a^3-3a^2b+3ab^2-b^3$
6. Сумма кубов равна произведению суммы чисел на неполный квадрат разности.
$a^3+b^3=(a+b)(a^2-ab+b^2)$
7. Разность кубов равна произведению разности чисел на неполный квадрат суммы.
$a^3-b^3=(a-b)(a^2+ab+b^2)$


